For Your ISHIO Blog

データ分析や機械学習やスクラムや組織とか、色々つぶやくブログです。

2020-10-01から1ヶ月間の記事一覧

SparkでLasso回帰のハイパーパラメータλをグリッドサーチして特徴量選択する

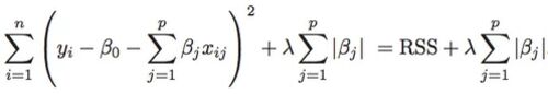
はじめに Lasso回帰は、正則化された線形回帰手法の1つで、線形回帰にL1正則化項を追加したモデルです。正則化により過学習を防ぐとともに、不要と判断される説明変数の偏回帰係数がゼロになる性質があります。この性質を利用して、目的変数により影響が高い…